基本信息:
中文名稱 N-Boc-L-高苯丙氨酸
中文別名 Boc-L-高苯丙氨酸;
英文名稱 (2S)-2-[(2-methylpropan-2-yl)oxycarbonylamino]-4-phenylbutanoic acid
英文別名 Boc-L-homophenylalanine;(S)-2-(Boc-amino)-4-phenylbutyric Acid;N-Boc-homophenylalanine;Boc-HoPhe-OH;(S)-2-(tert-Butoxycarbonylamino)-4-phenylbutyric Acid;(S)-2-(N-(tert-butoxycarbonyl)amino)-4-phenylbutanoic acid;N-Boc-L-homophenylalanine;2S-tert-butoxycarbonylamino-4-phenylbutyric acid;(S)-2-(Boc-amino)-4-phenylbutyric acid;N-(tert-butoxycarbonyl)-L-homophenylalanine;(S)-2-tert-butoxycarbonylamino-4-phenylbutyric acid;Boc-L-Homophenylalanine;(2S)-2-[(tert-butoxycarbonyl)amino]-4-phenylbutanoic acid;Boc-Homophe-OH;Boc-L-Homo-Phe;(S)-Boc-homophenylalanine;N-Boc-D-Homophe-OH;N-(tert-Butoxycarbonyl)-L-homophenylalanine;
CAS號(hào) 100564-78-1
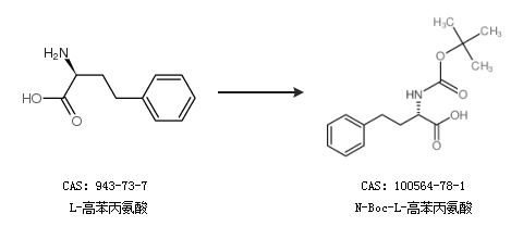
合成路線:
1.通過(guò)L-高苯丙氨酸合成N-Boc-L-高苯丙氨酸

2.通過(guò)Boc-L-絲氨酸甲酯合成N-Boc-L-高苯丙氨酸

合成路線僅供參考