基本信息:
中文名稱 N,N-二仲丁基對苯二胺
中文別名 N,N’-二仲丁基對苯二胺;
英文名稱 N1,N4-Di-sec-butylbenzene-1,4-diamine
英文別名 N,N′-Di-sec-butyl-p-phenylenediamine;N,N''-Di-sec-butyl-p-phenylenediamine;N,N''-Bis(1-methylpropyl)-1,4-phenylenediamine;N,N''-Di-sec-butyl-1,4-phenylenediamine;
CAS號 101-96-2
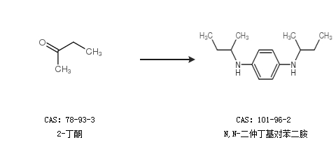
合成路線:
1.通過4-硝基苯胺和2-丁酮合成N,N-二仲丁基對苯二胺

2.通過2-丁酮合成N,N-二仲丁基對苯二胺

合成路線僅供參考