基本信息:
中文名稱 2,6-二甲基-5-庚烯醛
中文別名 西瓜醛;2,6-二甲基-5-庚烯-1-醛;甜瓜醛;
英文名稱 2,6-Dimethyl-5-heptenal
英文別名 2,6-DiMethyl-5-heptenal;MELONAL,NATURAL;2,5-DIMETHOXYBENZYL CHLORIDE;2,6-dimethylhept;2,6-dimethyl-5-heptena;Dimethylheptenal;Melon aldehyde,Melonal;2,6-dimethyl-5-hepten-1-al;MELONAL;2,6-Dimethylhept-5-enal;ELANAL;FEMA 2389;2,6-Dimethylhept-5-en-1-al;
CAS號 106-72-9
合成路線:
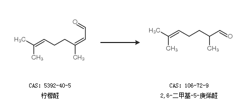
1.通過檸檬醛合成2,6-二甲基-5-庚烯醛

2.通過N,N-二甲基甲酰胺合成2,6-二甲基-5-庚烯醛,收率約68%;

中華試劑網(wǎng)提醒:合成路線僅供參考