基本信息:
中文名稱 二苯并噻吩-4-硼酸
中文別名 二苯并[B,D]噻吩-4-基硼酸;4-二苯并噻吩硼酸;
英文名稱 4-Dibenzothienylboronic acid
英文別名 dibenzothiophen-4-ylboronic acid;4-Dibenzothiopheneboronic acid;Dibenzothiophene-4-boronic acid;
CAS號 108847-20-7
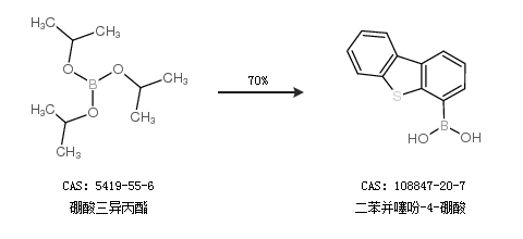
合成路線:
1.通過硼酸三異丙酯合成二苯并噻吩-4-硼酸,收率約70%;

2.通過三甲氧基硼烷合成二苯并噻吩-4-硼酸,收率約79%;

合成路線僅供參考