基本信息:
中文名稱 (S)-2-氨基己二酸
中文別名 L-α-氨基已二酸;L-a-氨基己二酸;L-2-氨基己二酸;
英文名稱 L-2-aminoadipic acid
英文別名 L-2-AMinoadipic Acid;(2S)-2-aminohexanedioic acid;(S)-2-Aminohexanedioic acid;L-a-Aminoadipic acid;(S)-2-Aminohexanedioic Acid;(S)-2-Aminohexanedioic acid,L-Homoglutamic acid,Aad;
CAS號(hào) 1118-90-7
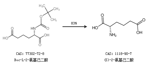
合成路線:
1.通過(guò)順-1,2-環(huán)己基二甲醇合成(S)-2-氨基己二酸,收率約84%;

2.通過(guò)Boc-L-2-氨基己二酸合成(S)-2-氨基己二酸,收率約83%;

合成路線僅供參考