基本信息:
中文名稱 4-氨基二苯甲酮
中文別名 4-氨基苯基苯甲酮;4-苯甲?;桨?4-氨基苯甲酮;對氨基二苯甲酮;
英文名稱 4-AMINOBENZOPHENONE
英文別名 4-amino-benzophenon;4-Aminobenzophenone;4-BENZOYLANILINE;4-Benzoylaniline;p-Benzoylaniline;PAB;AMINOBENZOPHENONE-4;4-aminobenzopenone;(4-Amino-phenyl)phenyl-methanone;para-aminobenzophenone;USAF a-233;4-Aminophenyl phenyl ketone;4''-aminobenzophenone;
CAS號 1137-41-3
合成路線:
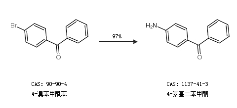
1.通過4-溴苯甲酰苯合成4-氨基二苯甲酮,收率約97%;

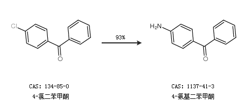
2.通過4-氯二苯甲酮合成4-氨基二苯甲酮,收率約93%;

合成路線僅供參考