基本信息:
中文名稱 4,4''-二氨基-3,3''-二甲基聯(lián)苯
中文別名 鄰聯(lián)甲;鄰聯(lián)甲苯胺;聯(lián)托胺;聯(lián)鄰甲苯胺;3,3''-二甲基聯(lián)苯胺;鄰聯(lián)甲苯胺/3,3-二甲基聯(lián)苯胺;4,4’-二氨基-3,3’-二甲基聯(lián)苯;
英文名稱 C.I. 37230
英文別名 3,3''-dimethylbiphenyl-4,4''-diamine;bianisidine;3,3''-Dimethylbenzidine 4,4''-Bianisidine;2-Tolidin;Ellms-Hauser;o-Tolidin;3,3''-dimethyl-4,4''-diamino-biphenyl;O-TOLIDINE;Tolidine;ο-Tolidine;diaminotolyl;o-Tolidine,pract;3,3''-dimethylbenzidine;4,4''-Diamino-3,3''-dimethylbiphenyl;3,3''-dimethyl-4,4''-biphenyldiamine;DMB;2-Tolidine;3,3''-Dimethylbenzidine;3,3''-Tolidine;2-Tolidina;o-Tolidine (3,3''-Dimethylbenzidine);
CAS號 119-93-7
合成路線:
1.通過2-碘代甲苯合成4,4''-二氨基-3,3''-二甲基聯(lián)苯

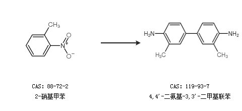
2.通過2-硝基甲苯合成4,4''-二氨基-3,3''-二甲基聯(lián)苯

中華試劑網(wǎng)提醒 合成路線僅供參考