基本信息:
中文名稱 (1R,2S)-1-氨基-2-茚醇
中文別名 (1R,2S)-(+)-氨基茚醇;(1R,2S)-(+)-1-氨基-2-茚醇;氨基茚醇;氨基茚醇;(1R,2S)-(+)-順式-1-氨基-2-茚醇;(1R,2S)-(+)-順式-1-氨基-2-茚醇;(1R,2S)-(+)-順式-1-氨基-2-茚滿醇;(1R,2S)-(+)-1-氨基-2-羥基茚滿;1-氨基-2-羥基茚;(1R,2S)-(+)-順-1-氨基-2-茚醇;
英文名稱 (1R,2S)-(+)-1-Amino-2-Hydroxyindan
英文別名 (1R,2S)-(+)-1-Amino-2-indanol;(1R,2S)-1-Amino-2-indanol;(1R,2S)-(+)-1-Amino-2-hydroxyindan;(1R,2S)-1-Amino-2,3-dihydro-1H-inden-2-ol;(1R,2S)-(+)-cis-1-Amino-2-indanol;(1R,2S)-(+)-cis-1-Amino-2-hydroxyindane;
CAS號(hào) 136030-00-7
合成路線:
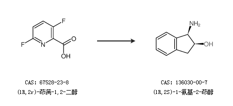
1.通過(guò)(1R,2r)-茚滿-1,2-二醇合成(1R,2S)-1-氨基-2-茚醇

2.通過(guò)(1R,2r)-茚滿-1,2-二醇合成(1R,2S)-1-氨基-2-茚醇

合成路線僅供參考