基本信息:
中文名稱 N-月桂酰肌氨酸鈉
中文別名 十二烷基肌氨酸鈉;N-月桂酰肌氨酸鈉水合物;月桂?;拾彼徕c;十二烷基肌氨酸鈉;
英文名稱 Sodium lauroylsarcosinate
英文別名 SARCOSYL NL;N-Lauroyl sarcosine sodium salt;Sodium N-Lauroylsarcosinate;sodium N-lauroyl-sarcosinate;Compound 105;GardolR;Sodium N-Dodecanoylsarcosinate;SARCOSYL;N-Lauroylsarcosine sodium salt;N-Dodecanoyl-N-methylglycine sodium salt,Sarkosyl NL;Maprosyl 30;Sarcosyl,Sarkosyl NL,Sodium N-dodecanoyl-N-methylglycinate;Sodium N-Lauroylsarcosinate;SARKOSYL NL;SARKOSYL;GARDOL;N-Dodecanoylsarcosine Sodium Salt;SARKOSYL NL-30;
CAS號(hào) 137-16-6
合成路線:
1.通過(guò)月桂酰氯和肌氨酸鈉合成N-月桂酰肌氨酸鈉

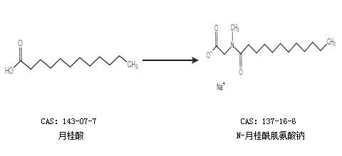
2.通過(guò)月桂酸合成N-月桂酰肌氨酸鈉

合成路線僅供參考