基本信息:
中文名稱 (S)-N-[[3-(3-氟苯基)-2-氧代-5-惡唑烷基]甲基]乙酰胺
中文別名 (S)-n-[[3-(3-氟苯基)-2-氧代-5-噁唑]甲基]乙酰胺;
英文名稱 (S)-N-[[3-(3-Fluorophenyl)-2-oxo-5-oxazolidinyl]methyl]acetamide
英文別名 N-[[(5S)-3-(3-fluorophenyl)-2-oxo-1,3-oxazolidin-5-yl]methyl]acetamide;
CAS號(hào) 139071-79-7
合成路線:
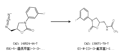
1.通過(5R)-5-(疊氮甲基)-3-(3-氟苯基)-2-惡唑烷酮合成(S)-N-[[3-(3-氟苯基)-2-氧代-5-惡唑烷基]甲基]乙酰胺

2.通過(S)-N-[2-乙酰氧基-3-氯丙基]乙酰胺Acetamide合成(S)-N-[[3-(3-氟苯基)-2-氧代-5-惡唑烷基]甲基]乙酰胺,收率約63%;

中華試劑網(wǎng)提醒 合成路線僅供參考