基本信息:
中文名稱 2,5-二硫代聯(lián)二脲
中文別名 2,5-二硫代脲;雙硫脲;1,2-二(氨基硫代甲酰)肼;2,5-二硫二脲;
英文名稱 Hydrazodicarbothioamide
英文別名 N,N''-bis-(amidothiocarbonyl)-hydrazine;hydrazodithiocarbamide;DITHIODIUREA;2,5-dithiourea;usafek-p-6281;usafb-44;DITHIOUREA;bithiourea;usafb-55;bisthiourea;2,5-Dithiobiurea;1-thiocarbamoylthiosemicarbazide;2,5-dithiobiurea;DITHIOBIUREA;
CAS號(hào) 142-46-1
合成路線:
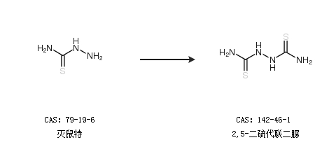
1.通過(guò)滅鼠特合成2,5-二硫代聯(lián)二脲

2.通過(guò)硫氰酸鉀合成2,5-二硫代聯(lián)二脲

合成路線僅供參考