基本信息:
中文名稱 (E,E)-2,4-己二烯醛
中文別名 反,反-2,4-己二烯醛;2,4-己二烯醛;
英文名稱 Hexa-2,4-dienal
英文別名 2,4-Hexadienal;(E,E)-2,4-Hexadienal;Sorbic Aldehyde;Sorbaldehyde,Sorbic aldehyde;
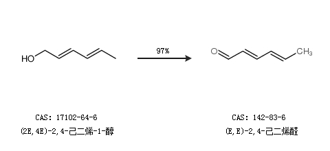
CAS號 142-83-6
合成路線:
1.通過(2E,4E)-2,4-己二烯-1-醇合成(E,E)-2,4-己二烯醛,收率約97%;

2.通過巴豆醛和三丁基(2-乙氧基乙烯基)錫合成(E,E)-2,4-己二烯醛,收率約80%;

中華試劑網(wǎng)提醒 合成路線僅供參考