基本信息:
中文名稱 2-氟-4-硝基甲苯
英文名稱 2-Fluoro-4-nitrotoluene
英文別名 4-Fluoro-4-Nitrotoluene;2-fluoro-4-Nitrotoluol;2-fluoro-4-nitrobenzene;2-Fluoro-1-me-4-nitrobenzene;1-methyl-2-fluoro-4-nitrobenzene;3-nitro-6-methyl-fluorobenzene;4-Nitro-2-fluorotoluene;3-fluoro-4-methylnitrobenzene;2-fluoro-4-nitro-toluene;Toluene,2-fluoro-4-nitro;2-fluoro-1-methyl-4-nitrobenzene;2-Fluoro-4-nitrotluene;2-Fluoro-4-nitrotolu;
CAS號 1427-07-2
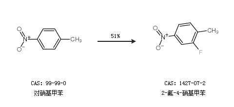
合成路線:
1.通過2-溴-4-硝基甲苯合成2-氟-4-硝基甲苯,收率約70%;

2.通過對硝基甲苯合成2-氟-4-硝基甲苯,收率約51%;

中華試劑網(wǎng)提醒:合成路線僅供參考