基本信息:
中文名稱 ?;敲撗跄懰?br>中文別名 ?;切苋パ跄懰??;切苊撗跄懰??;切廴パ跄懰?牛熊去氧膽酸鈉;?;撬嵝苊撗跄懰?
英文名稱 Tauroursodeoxycholic Acid Dihydrate
英文別名 2-[[(4R)-4-[(3R,5S,7S,8R,9S,10S,13R,14S,17R)-3,7-dihydroxy-10,13-dimethyl-2,3,4,5,6,7,8,9,11,12,14,15,16,17-tetradecahydro-1H-cyclopenta[a]phenanthren-17-yl]pentanoyl]amino]ethanesulfonic acid;TAUROURSODEOXYCHOLIC ACID;3α,7β-Dihydroxy-5β-cholan-24-oic Acid N-(2-Sulfoethyl)amide Dihydrate;Tauroursodeoxycholic acid dihydrate;Tauroursodeoxycholic acid sodium salt;Sodium tauroursodeoxycholate;3α,7β-Dihydroxy-5β-cholan-24-oic acid N-(2-sulfoethyl)amide;
CAS號 14605-22-2
合成路線:
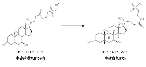
1.通過牛磺熊脫氧膽酸鈉合成牛磺脫氧膽酸

合成路線僅供參考