基本信息:
中文名稱 3,5-二氟苯硼酸
中文別名 3,5-二氟苯基硼酸;3,5-二氟代苯硼酸;
英文名稱 3,5-Difluorophenylboronic acid
英文別名 (3,5-difluorophenyl)boronic acid;(3,5-Difluorophenyl)dihydroxyborane 3,5-Difluorobenzeneboronic acid;3,5-Difluorobenzeneboronic Acid;3,5-Difluorophenylboronic Acid;
CAS號(hào) 156545-07-2
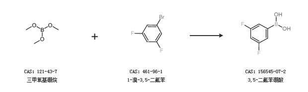
合成路線:
1.通過(guò)三甲氧基硼烷和1-溴-3,5-二氟苯合成3,5-二氟苯硼酸

2.通過(guò)1-溴-3,5-二氟苯合成3,5-二氟苯硼酸,收率約75%;

合成路線僅供參考