基本信息:
中文名稱 1-乙氧基-2-丙醇
中文別名 2-羥丙基乙基醚;1,2-丙二醇-1-乙醚;丙二醇單乙醚;丙二醇乙醚;
英文名稱 1-Ethoxy-2-propanol
英文別名 1-ethoxy-2-propano;2-Hydroxypropylethylether;Propylene Glycol Monoethyl Ether;propylene glycol ethyl ether;propylene glycol monoethyl ether;1,2-propylene glycol 1-monoethyl ether;1-ethoxy-propan-2-ol;pgee;2-Propanol,1-ethoxy;
CAS號(hào) 1569-02-4
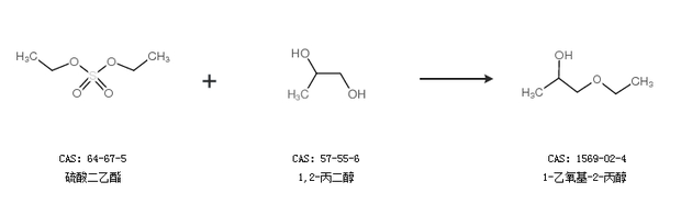
合成路線:
1.通過乙醇和(±)-環(huán)氧丙烷合成1-乙氧基-2-丙醇,收率約38%;

2.通過硫酸二乙酯和1,2-丙二醇合成1-乙氧基-2-丙醇

合成路線僅供參考