基本信息:
中文名稱 11-溴十一酸
中文別名 11-溴十一烷酸;1-溴代十一酸;
英文名稱 11-Bromoundecanoic acid
英文別名 11-Bromodecanoic acid;11-Bromoundecanoic Acid,Tech;11-bromoundecanecarboxylic acid;11-bromoundecanopic acid;11-bromo-undecanoic acid;11-Bromohendecanoic Acid;Undecanoic acid,11-bromo;
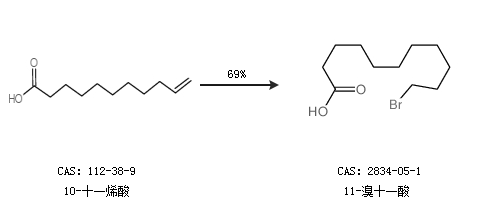
CAS號 2834-05-1
合成路線:
1.通過10-十一烯酸合成11-溴十一酸,收率約69%;

2.通過11-溴-1-十一醇合成11-溴十一酸,收率約96%;

中華試劑網(wǎng)提醒 合成路線僅供參考