基本信息:
中文名稱 2-(三甲硅基)乙醇
中文別名 (2-羥基乙基)三甲基硅烷;2-(三甲基硅基)乙醇;三甲基硅乙醇;2-(三甲硅基)乙醇;
英文名稱 2-(Trimethylsilyl)ethanol
英文別名 (2-Hydroxyethyl)Trimethylsilane;2-Trimethylsilanyl-ethanol;2-TMS-ethanol;2-(TriMethylsilyl)ethanol;2-HYDROXYETHYLTRIMETHYLSILANE;trimethylsilyl ethanol;trimethsilylethanol;
CAS號 2916-68-9
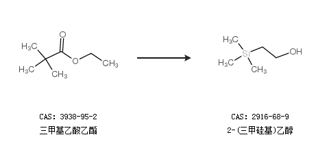
合成路線:
1.通過(三甲基硅基)乙酸乙酯合成2-(三甲硅基)乙醇,收率約80%;

2.通過三甲基乙酸乙酯合成2-(三甲硅基)乙醇

合成路線僅供參考