基本信息:
中文名稱 1,4,7,10-四氮雜環(huán)十二烷
中文別名 輪環(huán)藤寧;1,4,7,10-四氮環(huán)十二烷;
英文名稱 1,4,7,10-tetraazacyclododecane
英文別名 1,4,7,10-tetrazacyclododecane;1,4,7,12-tetraazacyclodedecane;1,4,7,10-Tetraazacyclododecane;1,4,7,10-Tetrazacyclododecane;Cyclen;
CAS號 294-90-6
合成路線:
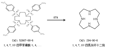
1.通過1,4,7,10-四甲苯磺酰-1,4,7,10-四氮雜環(huán)十二烷合成1,4,7,10-四氮雜環(huán)十二烷,收率約87%;

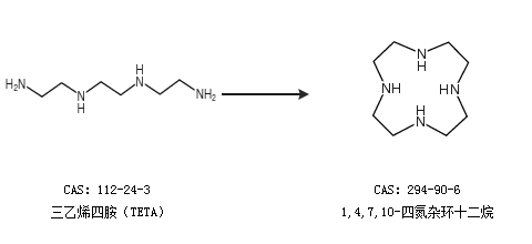
2.通過三乙烯四胺(TETA)合成1,4,7,10-四氮雜環(huán)十二烷

合成路線僅供參考