基本信息:
中文名稱 維生素A酸
中文別名 視黃酸;維他命A酸;維甲酸;維A酸;3,7-二甲基-9-(2,6,6-三甲基環(huán)己烯)-2,4,6,8-全反式壬四烯酸;
英文名稱 all-trans-retinoic acid
英文別名 all-trans-3,7-Dimethyl-9-(2,6,6-trimethyl-1-cyclohexen-1-yl)-2,4,6,8-nonatetraenoic Acid;aknoten;effederm;(2E,4E,6E,8E)-3,7-Dimethyl-9-(2,6,6-trimethylcyclohex-1-en-1-yl)nona-2,4,6,8-tetraenoic acid;all-trans-vitamin A acid;eudyna;all-trans retinoic acid;aberel;Tretinoin;tretinm;Vitamin A Acid;ATRA;(all-e);Atragen;retin-a;[3H]-Retinoic Acid;Retinoic acid;all-trans-Retinoic Acid;13-cis-retinoic acid;all-trans tretinoin;
CAS號(hào) 302-79-4
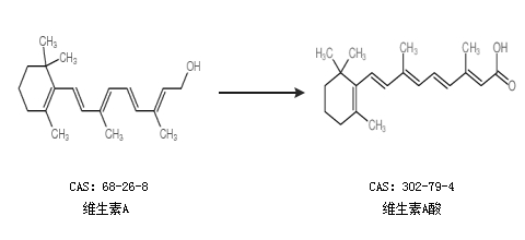
合成路線:
1.通過2-甲基-2-丁烯和視黃醛合成維生素A酸,收率約56%;

2.通過維生素A合成維生素A酸

合成路線僅供參考