基本信息:
中文名稱 4-甲基吡啶-3-甲酸
中文別名 4-甲基煙酸;4-甲基吡啶-3-羧酸;
英文名稱 4-methylpyridine-3-carboxylic acid
英文別名 4-Methyl-nicotinsaeure;4-Methylpyridine-3-carboxylic acid;4-Methylpyridine-3-carboxylicacid;4-Methylnicotinic acid;4-Methyl-3-pyridinecarboxylic acid;Methyl nicotinic acid;4-Methylpyridine-3-Carboxylicacid;4-Methyl-nicotinic acid;
CAS號 3222-50-2
合成路線:
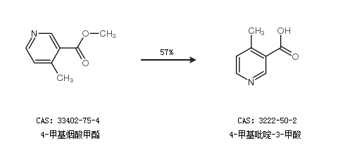
1.通過4-甲基煙酸甲酯合成4-甲基吡啶-3-甲酸,收率約57%;

2.通過3-氰基-4-甲基吡啶合成4-甲基吡啶-3-甲酸,收率約86%;

中華試劑網(wǎng)提醒:合成路線僅供參考