基本信息:
中文名稱 二乙酰丙酮鎳
中文別名 乙酰丙酮鎳;雙(2,4-戊二酮酸)鎳(II);乙酰丙酮鎳(II);
英文名稱 Bis(2,4-pentanediono)nickel
英文別名 Nickel(II) Acetylacetonate;Acetylacetonato nickel;Bis(acetylacetonato)nickel(II);2,4-Pentanedione nickel(II) derivative;Acetylacetonenickel;Bis(2,4-pentanedionato)nickel(II);Acetylacetonate nickel;anhydrous nickel acetylacetonate;Nickel acetonylacetonate;NICKEL ACETYLACETONATE;NICKEL PENTANEDIONATE;Nickel acetylacetonate;
CAS號 3264-82-2
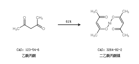
合成路線:
1.通過乙酰丙酮合成二乙酰丙酮鎳,收率約61%;

2.通過醋酸鎳和乙酰丙酮合成二乙酰丙酮鎳

合成路線僅供參考