基本信息:
中文名稱 2,2''-二(三氟甲基)二氨基聯(lián)苯
中文別名 2,2’-二(三氟甲基)二氨基聯(lián)苯;2,2’-雙(三氟甲基)-4,4’-二氨基聯(lián)苯;2,2''-雙(三氟甲基)-4,4''-二氨基聯(lián)苯;4,4''-二氨基-2,2''-雙(三氟甲基)聯(lián)苯;2,2''-雙(三氟甲基)二氨基聯(lián)苯;2,2''-雙(三氟甲基)聯(lián)苯胺;
英文名稱 4-[4-amino-2-(trifluoromethyl)phenyl]-3-(trifluoromethyl)aniline
英文別名 2,2''-BIPYRIDYL-6,6''-DICARBALDEHYDE;2,2''-Bis(trifluoromethyl)-[1,1''-biphenyl]-4,4''-diamine;2,2′-Bis(trifluoromethyl)benzidine;2,2''-Bis-trifluoromethyl-biphenyl-4,4''-diamine;4,4''-Diamino-2,2''-bis(trifluoromethyl)biphenyl;2,2‘-Bis(trifluoromethyl)benzidine;2,2''-Bis(trifluoromethyl)benzidine;
CAS號(hào) 341-58-2
合成路線:
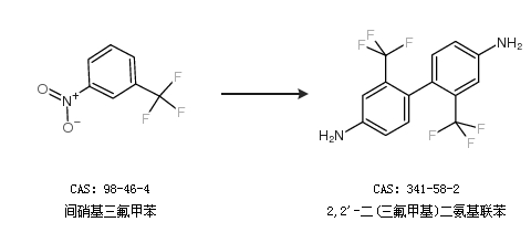
1.通過(guò)間硝基三氟甲苯和鋅合成2,2''-二(三氟甲基)二氨基聯(lián)苯

2.通過(guò)間硝基三氟甲苯合成2,2''-二(三氟甲基)二氨基聯(lián)苯

合成路線僅供參考