基本信息:
中文名稱 1,4-二氯-2-氟苯
中文別名 2,5-二氯氟苯;
英文名稱 2,5-DICHLOROFLUOROBENZENE
英文別名 1,4-Dichloro-2-fluorobenzene;1,4-Dichlor-2-fluor-benzol;1,4-dichloro-2-fluoro-benzene;Benzene,1,4-dichloro-2-fluoro;2,5-dichloro-1-fluorobenzene;1-Fluor-2,5-dichlor-benzol;1,4-Dichloro-2-fluorobenzene 5GR;
CAS號 348-59-4
合成路線:
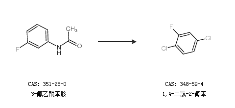
1.通過3-氟乙酰苯胺合成1,4-二氯-2-氟苯

2.通過對二氯苯合成1,4-二氯-2-氟苯,收率約12%;

中華試劑網提醒:合成路線僅供參考