基本信息:
中文名稱 beta-丙酸胍
中文別名 胍基丙酸;
英文名稱 3-guanidinopropanoic acid
英文別名 beta-Guanidinopropionic acid;Guanidinopropionic acid;3-Guanidinopropionic acid;3-Guanidinopropanoic acid;n-carbamimidoyl-|A-alanine;3-Guanidinopropanoate;β-Guanidinopropionic acid;3-guanidinepropionic acid;3-carbamimidamidopropanoic acid;3-(diaminomethylideneamino)propanoic acid;
CAS號(hào) 353-09-3
合成路線:
1.通過β-丙氨酸合成beta-丙酸胍,收率約51%;

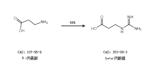
2.通過β-丙氨酸合成beta-丙酸胍,收率約49%;

中華試劑網(wǎng)提醒 合成路線僅供參考