基本信息:
中文名稱 3-氟三氟甲苯
中文別名 α,α,α,3-四氟甲苯;間氟三氟甲苯;1-氟-3-(三氟甲基)苯;
英文名稱 3-Fluorobenzotrifluoride
英文別名 m-trifluoromethyl fluorobenzene;3-trifluoromethyl-fluorobenzene;1-Fluoro-3-(trifluoromethyl)benzene;α,α,α,3-Tetrafluorotoluene;3-Fluorobenzotrifluo;3-fluoro-trifluoromethylbenzene;1-fluoro-3-(trifluoromethyl)benzene;3-tetrafluorotoluene;m,a,a,a-Tetrafluorotoluene;3-Fluorobezotrifluoride;M-FLUOROBENZOTRIFLUORIDE;
CAS號(hào) 401-80-9
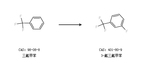
合成路線:
1.通過(guò)間硝基三氟甲苯合成3-氟三氟甲苯,收率約51%;

2.通過(guò)三氟甲苯合成3-氟三氟甲苯

中華試劑網(wǎng)提醒:合成路線僅供參考