基本信息:
中文名稱 5-溴-2-氯三氟甲苯
中文別名 4-溴-1-氯-2-(三氟甲基)苯;2-氯-5-溴三氟甲苯;4-溴-1-氯-2-(三氟甲基)苯;5-溴-2-氯-α,α,α-三氟甲苯;
英文名稱 5-Bromo-2-chlorobenzotrifluoride
英文別名 5-BroMo-2-chlorobenzotrifluoride;4-Bromo-1-chloro-2-(trifluoromethyl)benzene;4-bromo-1-chloro-2-(trifluoromethyl)benzene;5-Bromo-2-chloro-α,α,α-trifluorotoluene;
CAS號 445-01-2
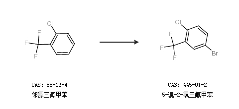
合成路線:
1.通過鄰氯三氟甲苯合成5-溴-2-氯三氟甲苯

中華試劑網(wǎng)提醒:合成路線僅供參考