基本信息:
中文名稱 2-氟-5-甲基磺酰硝基苯
中文別名 4-氟-3-硝基苯基甲砜;5-甲砜基-2-氟硝基苯;
英文名稱 4-METHYLSULFONYL-2-NITROFLUOROBENZENE
英文別名 2-Fluoro-5-methylsulphonylnitrobenzene;1-fluoro-4-methylsulfonyl-2-nitrobenzene;4-Fluoro-3-nitrophenyl Methyl Sulfone;
CAS號 453-72-5
合成路線:
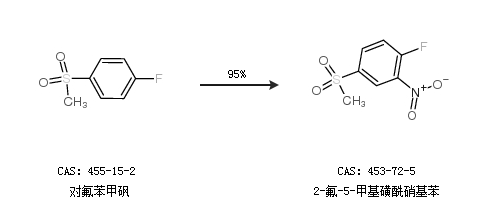
1.通過對氟苯甲砜合成2-氟-5-甲基磺酰硝基苯,收率約95%;

2.通過2-硝基-4-甲砜基氯苯合成2-氟-5-甲基磺酰硝基苯

合成路線僅供參考