基本信息:
中文名稱 3-溴-4-氯三氟甲苯
中文別名 3-溴-4-氯苯并三氟;3-溴-4-氯-α,α,α-三氟甲苯;
英文名稱 3-Bromo-4-chlorobenzotrifluoride
英文別名 3-Bromo-4-chloro-α,α,α-trifluorotoluene;2-Bromo-1-chloro-4-(trifluoromethyl)benzene;2-bromo-1-chloro-4-(trifluoromethyl)benzene;3-BroMo-4-chlorobenzotrifluoride;
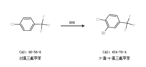
CAS號 454-78-4
合成路線:
1.通過對氯三氟甲苯合成3-溴-4-氯三氟甲苯,收率約88%;

2.通過4-氯三氯甲苯和鐵合成3-溴-4-氯三氟甲苯,收率約82%;

中華試劑網(wǎng)提醒:合成路線僅供參考