基本信息:
中文名稱 3-(2-噻吩甲酰基)丙酸
中文別名 4-羰基-4-(2-噻吩基)丁酸;4-氧-4-(2-噻吩)丁酸;
英文名稱 4-oxo-4-(2-thienyl)butyric acid
英文別名 3-(2-Thenoyl)propionic Acid;4-Oxo-4-(2-thienyl)butyric acid;3-(2-THENOYL)-PROPIONIC ACID;4-Oxo-4-(2-thienyl)butanoic acid;4-Oxo-4-(thiophen-2-yl)butanoic acid;4-oxo-4-thiophen-2-ylbutanoic acid;
CAS號 4653-08-1
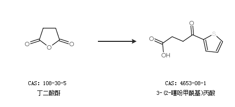
合成路線:
1.通過丁二酸酐合成3-(2-噻吩甲?;?丙酸,收率約89%;

2.通過丁二酸酐合成3-(2-噻吩甲?;?丙酸

合成路線僅供參考