基本信息:
中文名稱 大黃酸
中文別名 1,8-二羥基-3-羧基蒽醌;9,10-二氫-4,5-二羥基-9,10-二氧代-2-蒽羧酸;4,5-二羥基蒽醌-2-羧酸;4,5-二羥蒽醌-2-羧酸;
英文名稱 Rhein
英文別名 Monorhein;1,8-dihydroxyanthraquinone-3-carboxylic acid;9,10-dihydro-4,5-dihydroxy-9,10-dioxoanthracene-2-carboxylic acid;Rheic Acid;Chrysazin-3-carboxylic acid;Rheic acid;1,8-dihydroxy-3-carboxy-9,10-anthraquinone;1,8-dihydroxy-3-carboxyanthraquinone;Rhubarb Yellow;4,5-Dihydroxy-9,10-dioxo-9,10-dihydroanthracene-2-carboxylic acid;4,5-Dihydroxyanthraquinone-2-carboxylic acid;4,5-dihydroxyanthraquinone-2-carboxylic acid;9,10-Dihydro-4,5-dihydroxy-9,10-dioxo-2-anthracenecarboxylic acid;Cassic acid;
CAS號 478-43-3
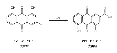
合成路線:
1.通過大黃酚合成大黃酸,收率約10%;

2.通過1-甲氧基-1,3-環(huán)己二烯合成大黃酸

合成路線僅供參考