基本信息:
中文名稱 2-溴-4-硝基苯甲醚
中文別名 3-溴-4-甲氧基硝基苯;
英文名稱 2-Bromo-4-nitroanisole
英文別名 3-Bromo-4-methoxynitrobenzene;2-bromo-1-methoxy-4-nitrobenzene;2-Bromo-1-methoxy-4-nitrobenzene;2-BroMo-4-nitroanisole;
CAS號 5197-28-4
合成路線:
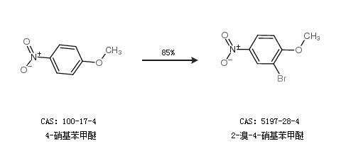
1.通過4-硝基苯甲醚合成2-溴-4-硝基苯甲醚,收率約85%;

2.通過2-氨基-4-硝基苯甲醚合成2-溴-4-硝基苯甲醚

合成路線僅供參考