基本信息:
中文名稱 2-噻吩甲酸
中文別名 噻吩-2-甲酸;噻吩-2-羧酸;
英文名稱 thiophene-2-carboxylic acid
英文別名 2-Thiophenecarboxylic acid;2-Thiophenic Acid;Thiophene-2-carboxylic Acid;2-Thiophenecarboxylic Acid;2-Thenoic Acid;
CAS號(hào) 527-72-0
合成路線:
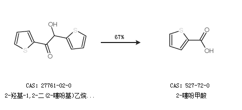
1.通過2-羥基-1,2-二(2-噻吩基)乙烷-1-酮合成2-噻吩甲酸,收率約67%;

2.通過2-噻吩甲醇合成2-噻吩甲酸,收率約73%;

合成路線僅供參考