基本信息:
中文名稱 2-氨基煙酸
中文別名 2-氨基尼克酸;2-氨基呢啶;2-氨基吡啶-3-羧酸;
英文名稱 2-aminonicotinic acid
英文別名 ;2-Aminonicotinic acid;2-aminopyridine-3-carboxylic acid;2-Aminopyridine-3-carboxylic Acid;
CAS號 5345-47-1
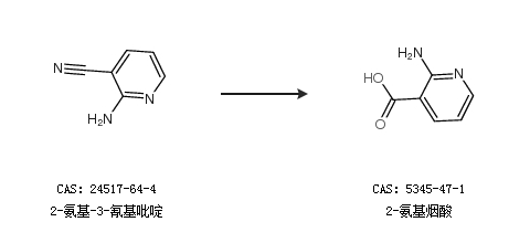
合成路線:
1.通過2-氯煙酸合成2-氨基煙酸,收率約61%;

2.通過2-氨基-3-氰基吡啶合成2-氨基煙酸

合成路線僅供參考