基本信息:
中文名稱 5-氟吲哚-2-酮
中文別名 5-氟-1,3-二氫吲哚-2-酮;5-氟氧化吲哚;5-氟吲哚酮;5-氟吲哚酮;5-氟氧化吲哚;5-氟-吲哚-2-酮;
英文名稱 5-Fluoro-2-oxindole
英文別名 Fluorooxindole;5-Fluorooxindole;5-fluoroindolin-2-one;5-fluoro-2-oxo-1,2-dihydro-indole;5-FLUROOXINDOLE;5-Fluoroindole-2-One;5-FLUORO-2-OXYINDOLE;5-Fluoro-2-indolinone;5-fluoro-1,3-dihydro-indol-2-one;
CAS號 56341-41-4
合成路線:
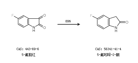
1.通過5-氟靛紅合成5-氟吲哚-2-酮,收率約89%;

2.通過5-氟-3-肼基吲哚啉-2-酮合成5-氟吲哚-2-酮,收率約82%;

合成路線僅供參考