基本信息:
中文名稱 2,6-二甲基萘
英文名稱 2,6-dimethylnaphthalene
英文別名 2,6-DIMETHYLNAPHTALENE;2 6-DIMETHYLNAPHTHALENE OEKANAL 250 MG;2,6-dimethyl naphthalene;2,6-Dimcthylnaphthaline;2,6-DIMETHYLNAPHTHALENE OEKANAL;2,6-Dimethylnaphthalene;2,6-dimethylonaphthalene;DIMETHYLNAPHTHALENE;naphthalene,2,6-dimethyl;2,6-dimethylhaphthalene;
CAS號(hào) 581-42-0
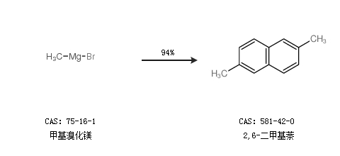
合成路線:
1.通過(guò)甲基溴化鎂合成2,6-二甲基萘,收率約99%;

2.通過(guò)甲基溴化鎂合成2,6-二甲基萘,收率約94%;

合成路線僅供參考