基本信息:
中文名稱 (1R,2R)-2-氨基-1-(4-硝基苯基)丙烷-1,3-二醇
中文別名 D-(-)-蘇-2-氨基-1-(4-硝基苯基)-1,3-丙二醇;D(-)(蘇)-1-對硝基苯基-2-氨基-1,3-丙二醇;氯霉素堿;D(-)蘇-1-對硝基苯基-2-氨基-1,3-丙二醇;(1R,2R)-(-)-2-氨基-1-(4-硝基苯基)-1,3-丙二醇;精左旋氨基物;
英文名稱 (R,R)-2-amino-1-(4-nitrophenyl)propane-1,3-diol
英文別名 (1R,2R)-2-amino-1-(4-nitrophenyl)propane-1,3-diol;D-(-)-THREO-2-AMINO-1-(4-NITROPHENYL)-1,3-PROPANEDIOL;
CAS號 716-61-0
合成路線:
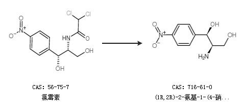
1.通過氯霉素合成(1R,2R)-2-氨基-1-(4-硝基苯基)丙烷-1,3-二醇

2.通過2-氨基-1-(4-硝基苯基)-1,3-丙二醇合成(1R,2R)-2-氨基-1-(4-硝基苯基)丙烷-1,3-二醇

合成路線僅供參考