基本信息:
中文名稱 4,4''-二氨基二苯二硫醚
中文別名 二硫代對氨基苯;4,4’-二硫代二苯胺;4,4''-二氨基二苯二硫;二硫二(對氨基)苯;4,4''-二硫代二苯胺;二(對氨基)苯基二硫;二硫化雙(對氨基苯);二硫代-4,4''-二氨基(代)二苯;
英文名稱 4,4''-Dithiodianiline
英文別名 4-aminophenyl;4-Aminophenyl disulfide;Dithioaniline;p-p''-Dithiodianiline;4,4''-Dithio-Aniline;4,4''-Diaminodiphenyl disulphide;4,4''-diamino diphenyl disulfide;
CAS號(hào) 722-27-0
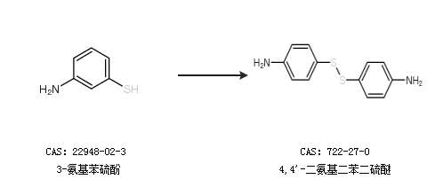
合成路線:
1.通過對碘苯胺合成4,4''-二氨基二苯二硫醚,收率約92%;

2.通過3-氨基苯硫酚合成4,4''-二氨基二苯二硫醚

中華試劑網(wǎng)提醒 合成路線僅供參考