基本信息:
中文名稱(chēng) D-2-氨基己二酸
中文別名 D-Alpha-氨基己二酸;(R)-2-氨基己二酸;D-a-氨基己二酸;
英文名稱(chēng) D-2-aminoadipic acid
英文別名 D-2-AMINOADIPIC ACID 98;H-D-2-Aad-OH;D-aminohexanoic diacid;D-2-Aminoadipic acid;D-Homoglutamic acid;D-a-Aminoadipic acid;
CAS號(hào) 7620-28-2
合成路線:
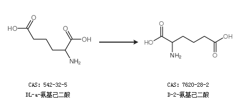
1.通過(guò)DL-a-氨基己二酸合成D-2-氨基己二酸

2.通過(guò)(S)-2-氨基己二酸合成D-2-氨基己二酸

中華試劑網(wǎng)提醒:合成路線僅供參考