基本信息:
中文名稱 4-溴-2-硝基苯酚
中文別名 2-硝基-4-溴苯酚;4-溴-1-羥基-2-硝基苯;
英文名稱 4-Bromo-2-nitrophenol
英文別名 Phenol,4-bromo-2-nitro;2-nitro-4-bromo-phenol;T-1,E-17(P);Phenol,2-nitro-5-bromo;EINECS 231-707-4;4-bromo-2-nitro-phenol;4-bromo-6-nitro-phenol;4-Bromo-1-hydroxy-2-nitrobenzene;2-NO2 4-Br phenol;
CAS號(hào) 7693-52-9
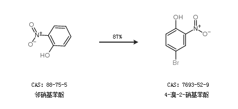
合成路線:
1.通過4-溴苯酚合成4-溴-2-硝基苯酚,收率約98%;

2.通過鄰硝基苯酚合成4-溴-2-硝基苯酚,收率約87%;

中華試劑網(wǎng)提醒 合成路線僅供參考