基本信息:
中文名稱 四乙基氫氧化銨
中文別名 四乙基氫氧化銨(TEAH);氫氧化四乙基銨;四乙基氫氧化;N,N,N-三乙基乙銨氫氧化物;
英文名稱 Tetraethylammonium hydroxide
英文別名 tetraethyl-ammoniuhydroxide;Tetraethylammoniumhydroxides;Tetraethylazanium hydroxide;Tetraethylammonium h;IPC-TEA-OH;TENOH;TEA HYDROXIDE;
CAS號 77-98-5
合成路線:
1.通過四乙基溴化銨合成四乙基氫氧化銨,收率約75%;

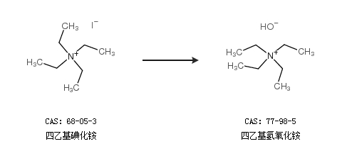
2.通過四乙基碘化銨合成四乙基氫氧化銨

合成路線僅供參考