基本信息:
中文名稱 (S)-(-)-2-(Boc-氨基)-3-芐氧基-1-丙醇
中文別名 N-Boc-(S)-2-氨基-3-芐氧基-1-丙醇;
英文名稱 N-Boc-(S)-2-Amino-3-Benzyloxy-1-Propanol
英文別名 tert-butyl N-[(2S)-1-hydroxy-3-phenylmethoxypropan-2-yl]carbamate;
CAS號 79069-15-1
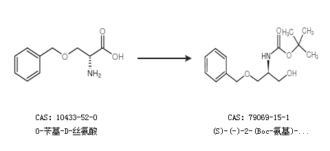
合成路線:
1.通過N-(叔丁氧羰基)-O-芐基-L-絲氨酸 N-琥珀酰亞胺酯合成(S)-(-)-2-(Boc-氨基)-3-芐氧基-1-丙醇

2.通過O-芐基-D-絲氨酸合成(S)-(-)-2-(Boc-氨基)-3-芐氧基-1-丙醇

中華試劑網(wǎng)提醒:合成路線僅供參考