基本信息:
中文名稱(chēng) 1-萘胺-5-磺酸
中文別名 5-氨基-1-萘磺酸;5-氨基-1-萘磺酸;1,5-萘胺磺酸;5-氨基萘-1-磺酸;勞倫酸;勞倫酸;
英文名稱(chēng) 5-Aminonaphthalene-1-sulfonic acid
英文別名 5-aminonaphthalene-1-sulfonic acid;
CAS號(hào) 84-89-9
合成路線:
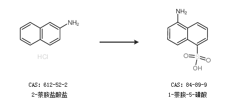
1.通過(guò)2-萘胺鹽酸鹽合成1-萘胺-5-磺酸

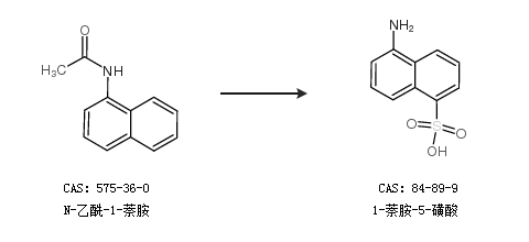
2.通過(guò)N-乙酰-1-萘胺合成1-萘胺-5-磺酸

合成路線僅供參考