基本信息:
中文名稱 3-氯三氟甲苯
中文別名 間氯三氟甲苯;3-氯-α,α,α-三氟甲苯;1-氯-3-(三氟甲基)苯;
英文名稱 3-Chlorobenzotrifluoride
英文別名 3-Chlorbenzotrifluorid;Benzotrifluoride,3-chloro;chlorobenzotrifluorides;3-Chlorbenzotrifluoride;3-trifluoromethyl-chlorobenzene;3-Chlorobenzotrifluo;meta-(trifluoromethyl)chlorobenzene;3-CHLOROTRIFLUOROTOLUENE;M-CHLOROBENZOTRIFLUORIDE;1-chloro-3-(trifluoromethyl)benzene;m-chlorotrifluoromethylbenzene;m-ChlorBenzotrifluoride;m-chlorobenzotriflouride;
CAS號(hào) 98-15-7
合成路線:
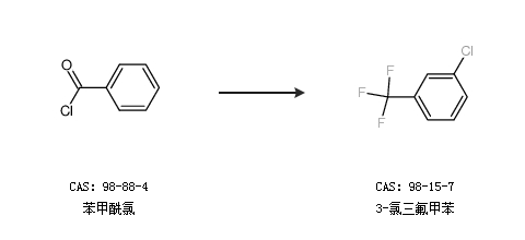
1.通過苯甲酰氯合成3-氯三氟甲苯

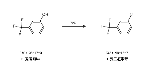
2.通過6-溴喹喔啉合成3-氯三氟甲苯,收率約72%;

中華試劑網(wǎng)提醒:合成路線僅供參考