基本信息:
中文名稱 2,6-二溴-4-硝基苯酚
中文別名 4-硝基-2,6-二溴酚;二溴4-硝基苯酚;葡萄酸鈣(食品級);2,6-二溴-4-硝基酚;
英文名稱 2,6-Dibromo-4-nitrophenol
英文別名 2,6-dibromo-4-nitrophenole;2,6-dibromo-4-nitro-phenol;2,6-Dibrom-4-nitro-phenol;2,6-dibromonitrophenol;EINECS 202-744-3;4-Nitro-2,6-dibromophenol;Phenol,2,6-dibromo-4-nitro;2.6-Dibrom-4-nitro-1-hydroxy-benzol;
CAS號 99-28-5
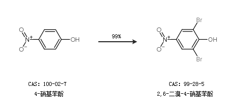
合成路線:
1.通過4-硝基苯酚合成2,6-二溴-4-硝基苯酚,收率約99%;

2.通過三溴苯酚合成2,6-二溴-4-硝基苯酚,收率約76%;

中華試劑網(wǎng)提醒 合成路線僅供參考