基本信息:
中文名稱 1,3-二硝基苯
中文別名 間二硝基苯;
英文名稱 1,3-dinitrobenzene
英文別名 1,3-Dinitrobenzene;m-Dinitrobenzene;m-DNB;3-DINITROBENZENE;Dinitrobenzene;M-DINITROBENZENE;meta-Dinitrobenzene;1,3-Dinitrobenzol;2,4-Dinitrobenzene;2,5-DIMETHYLTHIOPHENE;Benzene,1,3-dinitro;Benzene,m-dinitro;BENZENE, 1,3-DINITRO-;
CAS號(hào) 99-65-0
合成路線:
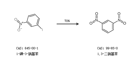
1.通過(guò)1-碘-3-硝基苯合成1,3-二硝基苯,收率約70%;

2.通過(guò)1-溴-3-碘苯合成1,3-二硝基苯,收率約63%;

合成路線僅供參考