基本信息:
中文名稱 2,4''-二溴苯乙酮
中文別名 對溴苯乙酰溴;2'',4-二溴苯乙酮;2,4’-二溴苯乙酮;2,4'-二溴苯乙酮;對-α-二溴苯乙酮;對溴溴代苯乙酮;4''-溴苯甲酰甲基溴;
英文名稱 2,4''-Dibromoacetophenone
英文別名 2-bromo-1-(4-bromophenyl)ethanone;BromophenacylBromide;p-bromophenacyl-8;PBPB;2-bromo-4''-bromoacetophenone;2,4`-Dibromoacetophenone;2-bromo-1-(4-bromophenyl)-1-ethanone;p-Bromophenacyl bromide;2,3-DIFLUOROBENZOTRIFLUORIDE;
CAS號 99-73-0
合成路線:
1.通過4-溴苯乙酮合成2,4''-二溴苯乙酮,收率約84%;

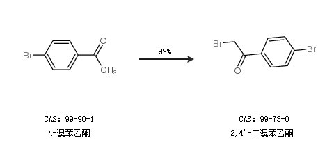
2.通過4-溴苯乙酮合成2,4''-二溴苯乙酮,收率約99%;

合成路線僅供參考