基本信息:
中文名稱 西拉普利
中文別名 (1S,9S)-9-[(S)-1-乙氧羰基-3-苯丙基]氨基]-10-氧代八氫噠嗪并[1,2-a][1,2]二氮卓-1-羧酸;抑平舒;
英文名稱 (4S,7S)-7-[[(2S)-1-ethoxy-1-oxo-4-phenylbutan-2-yl]amino]-6-oxo-1,2,3,4,7,8,9,10-octahydropyridazino[1,2-a]diazepine-4-carboxylic acid
英文別名 (1S,9S)-9-{[(2S)-1-ethoxy-1-oxo-4-phenylbutan-2-yl]amino}-10-oxooctahydro-6H-pyridazino[1,2-a][1,2]diazepine-1-carboxylic acid;Cilazaprilum;9(S)-[1-(S)-(ethoxycarbony)-3-phenylpropylamino]octahydro-10-oxo-6H-pyridazo[1,2-a][1,2]-diazepine-1(S)-carboxylic acid;Ro 34-2848;Cilazil;(1S,9S)-9-[[(1S)-1-(ethoxycarbonyl)-3-phenylpropyl]amino]octahydro-10-oxo-6H-pyridazino[1,2-a][1,2]diazepine-1-carboxylic acid;Cilazaprilum [Latin];
CAS號(hào) 88768-40-5
合成路線:
1.通過(guò)(R)-2-羥基-4-苯基丁酸合成西拉普利

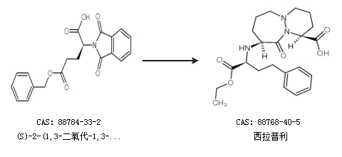
2.通過(guò)(S)-2-(1,3-二氧代-1,3-二氫異吲哚-2-基)戊二酸-5-芐酯合成西拉普利

中華試劑網(wǎng)提醒:合成路線僅供參考