基本信息:
中文名稱 1-Boc-2-甲基哌嗪
中文別名 1-BOC-2-甲基哌嗪.檸檬酸鹽;2-甲基哌嗪-1-叔丁酯;N-1-BOC-3-甲基哌嗪;1-BOC-2-甲基哌嗪;N-4-BOC-3-甲基哌嗪;2-甲基哌嗪-1-羧酸叔丁酯;2-甲基-1-叔丁氧羰基哌嗪;
英文名稱 1-Boc-2-Methylpiperazine
英文別名 tert-Butyl 2-methylpiperazine-1-carboxylate;1-Boc-2-methylpiperazine;N-1-BOC-2-METHYLPIPERAZINE;tert-butyl 2-methylpiperazine-1-carboxylate;
CAS號 120737-78-2
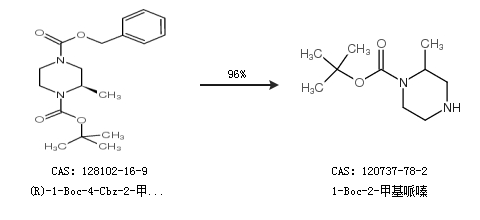
合成路線:
1.通過(R)-1-Boc-4-Cbz-2-甲基哌嗪合成1-Boc-2-甲基哌嗪,收率約96%;

2.通過2-甲基哌嗪合成1-Boc-2-甲基哌嗪

合成路線僅供參考