基本信息:
中文名稱 6-溴-4-二氫色原酮
中文別名 6-溴-2,3-二氫苯并吡喃-4-酮;6-溴-2,3-二氫-4H-苯并吡喃-4-酮;
英文名稱 6-Bromo-2,3-Dihydro-4H-Chromen-4-One
英文別名 6-Bromochroman-4-one;6-Bromo-4-chromanone;6-Bromo-2,3-dihydro-4H-chromen-4-one;
CAS號(hào) 49660-57-3
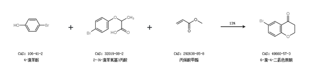
合成路線:
1.通過4-二氫色原酮合成6-溴-4-二氫色原酮,收率約75%;

2.通過4-溴苯酚、2-(4-溴苯氧基)丙酸和丙烯酸甲酯合成6-溴-4-二氫色原酮,收率約13%;

合成路線僅供參考